mai.h.elnaggar

Mai El-Naggar

Lecturer -

Faculty of Pharmacy

Address: Pharmacognosy Department- Faculty of Pharmacy- Sohag University

8

Like
  • «
  • 1
  • »
Antimicrobial and antiquorum-sensing activity of Ricinus communis extracts and ricinine derivatives
Ricinine (1), a known major alkaloid in Ricinus communis plant, was used as a starting compound for the synthesis of six ricinine derivatives; two new and four known compounds. The new derivatives; 3-amino-5-methyl-1H-pyrazolo[4,3-c]pyridin-4(5H)-one (2), and 3-amino-5-methyl-1-(phenylsulfonyl)-1H-pyrazolo[4,3-c]pyridin-4(5H)-one (3), as well as the previously prepared derivatives (4-7) were subjected for antimicrobial and antiquorum-sensing evaluation in comparison to different R. communis extracts. Acetyl ... Read more

Synthesis, docking, cytotoxicity, and LTA4H inhibitory activity of new gingerol derivatives as potential colorectal cancer therapy
Leukotriene A4 hydrolase (LTA4H) is a proinflammatory enzyme that generates the inflammatory mediator leukotriene which may play an important role in chronic inflammation associated carcinogenesis. [6]-gingerol, the major bioactive compound of Zingiber officinale, is a potential inhibitor of LTA4H, a highly expressed enzyme in colorectal carcinoma. Eighteen compounds; seven of natural origin (including [4]-, [6]-, [8]-, and [10]-gingerol), five new ... Read more

2015 | Keywords Gingerols,
Gingerols: New Therapeutics Applications
Emerging New Therapy Against Colorectal Cancer and Human Drug Resistant Breast Cancer are among our continuous efforts and need for developing novel drug-like lead natural compounds. This book presents a remarkable anticancer activity of natural-derived compound as gingerol and its derivatives compared to the standard universal therapeutic regimen. This book describes new and modern applications of gingerols for treatment of ... Read more

Gingerol-derivatives: emerging new therapy against human drug-resistant MCF-7
Cancer chemotherapies have been improved dramatically over the last two decades. In the case of human breast cancer, the combination chemotherapeutic protocol, cyclophosphamide (CPA), doxorubicin (DOX), and 5-fluorouracil (5-FU) (CDF), is often used. Nevertheless, the clinical usefulness of CDF is limited by its remarkably low therapeutic window and frequent eruption of resistance. These limitations prompted our search for a more ... Read more

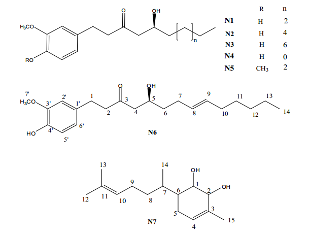
New Gingerol Derivative and Other Related Compounds from Zingiber officinale
In this article we report the isolation, characterization and evaluation of in vitro anti-colon cancer activity of a new gingerol derivative, namely (S,E)-5-hydroxy-1-(4-hydroxy-3-methoxyphenyl)tetradec-8-en-3-one, (N6), and a known sesquiterpene (1,2-Dihydroxybisabola-3,10-diene,N7), isolated from Zingiber officinale rhizomes for the first time, together with other five known compounds; 6-gingerol (N1), 8-gingerol (N2), 10-gingerol (N3), 4-gingerol (N4) and 4`-O-methyl-6-gingerol (N5). The isolated compounds were identified ... Read more

  • «
  • 1
  • »