BiMnO3 (BMO), ferromagnetic (FM) below Tc 100 K, was believed to also be ferroelectric (FE) due to
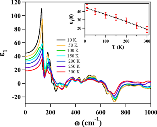
a noncentrosymmetric C2 structure, until diffraction data indicated that its space group is the centrosymmetric C2/c. Here we present infrared phonon spectra of BMO, taken on a mosaic of single crystals, which are consistent with C2/c at any T >10 K, as well as room-temperature Raman data which strongly support this conclusion. We also find that the infrared intensity of several phonons increases steadily for T → 0, causing the relative permittivity of BMO to vary from 18.5 at 300 K to 45 at 10 K. At variance with FE materials of the displacive type, no appreciable softening has been found in the infrared phonons. Both their frequencies and intensities, moreover, appear insensitive to the FM transition at Tc.

