السكشن السادس والخاص بطلاب الفرقة الثانية تربية عام رياضيات مادة التفاضل المتقدم
فى السكشن الماضى قدمنا المشتقات الجزئية وعرفنا كيف يمكن ان نفاضل دالة فى متغيرين مستقلين او اكثر بالنسبة الى متغيراتها المستقلة
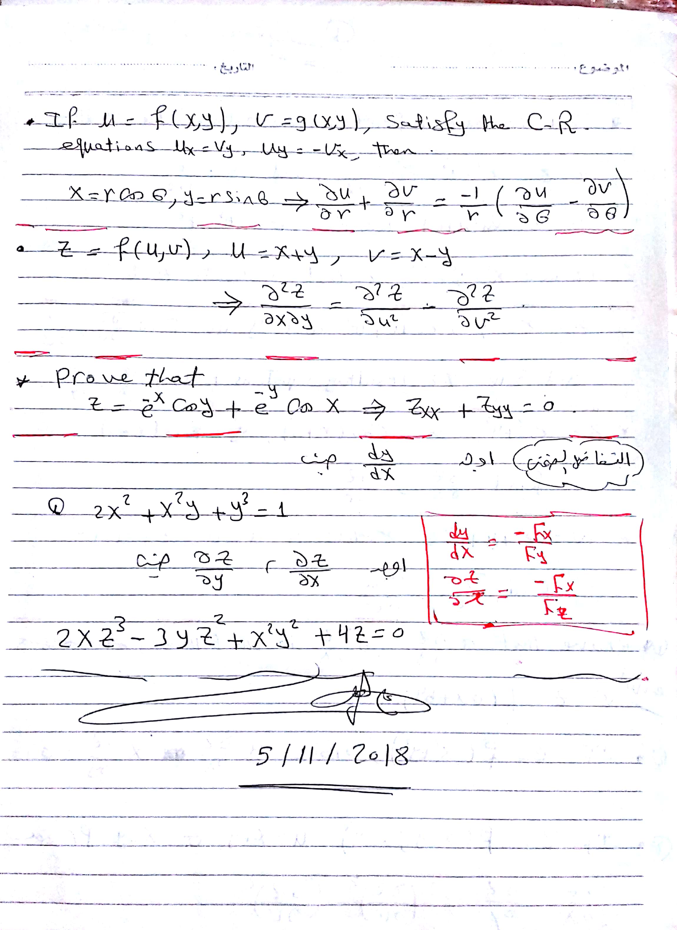
واليوم نناقش بعض المواضيع المهمة
اولا التفاضل التام وكيفية الحصول على التفاضل التام لدالة فى متغيرين مستقلين او اكثر
ثانيا قاعدة السلسلة وكيفية استخدامها
اذا كان لدينا مثلا دالة (z=z(x,y ولكن المتغيرات x,y دوال فى المتغيرات المستقلة u,v بمعنى (x=x(u,v), y=y(u,v هل يمكن ايجاد تفاضل الدالة z بالنسبة الى u او تفاضل الدالة z بالنسبة الى v
ايضا اذا كان لدينا مثلا دالة (z=z(x,y ولكن المتغيرات x,y دوال فى المتغير المستقل t بمعنى (x=x(t), y=y(t هل يمكن ايجاد التفاضل التام للدالة z بالنسبة الى t
وناقشنا امثلة عليها
ثم قدمنا التفاضل الضمنى
والى حضراتكم مرفق بما تناولناه فى السكشن
على الهلالى

