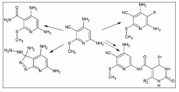
Treatment of 4,6-diamino-3-cyano-2-methylthiopyridine (1) with aqueous KOH or hydrazine hydrate
afforded the corresponding nicotinamide 2 and pyrazolo[3,4-b]pyridine 3, respectively. Reaction of
compound 1 with bromine, sulfuryl chloride, formaldehyde, or aromatic diazonium salts gave 5-
bromopyridine 4, 5-chloropyridine 5, dipyridylmethane 6, and azo dyes 7–10, respectively. Compound 1
reacted with diketones to yield the corresponding butenylamino derivative 11 and amides 12–15, respectively.
Treatment of butanamide 13 with diazonium salts or a mixture of urea and aromatic aldehyde in
the presence of drops of HCl as a catalyst yielded the corresponding arylhydrazones 16–19, pyrimidines
20–24, and 1,8-naphthyridine 25, respectively. The potency of the results as anti-inflammatory and antifungal
agents have been evaluated. The compounds have been characterized based on their spectral and elemental analysis.


